۱. فشار چیست؟
پاسخ : به نیروی وارد بر سطح فشار می گویند که با علامت اختصاری P نمایش می دهند.
۲. فشار هوا در یک محیط بسته به چه عواملی بستگی دارد؟
پاسخ : تعداد مولکول های گاز درون ظرف.
جنبش و حرکت مولکول های گاز.
۳. ارتباط فشار با سطح چیست؟
پاسخ : اگر نیرو ثابت بماند با افزایش سطح ، مقدار فشار کم می شود ولی با کاهش سطح ، میزان فشار افزایش می یابد.
۴. فرمول فشار در درون مایعات را بنویسید؟
پاسخ : فشار درون مایعات = ارتفاع × شتاب ، جاذبه × چگالی
۵. در شکل مقابل اگر جرم استوانه ۱۲ کیلوگرم باشد استوانه چه فشاری به سطح زیرین خود وارد می کند؟
پاسخ : 
۶. اصل پاسکال را تعریف کنید؟
پاسخ : اگر بر بخشی از مایع که درون ظرفی محصور است فشار وارد کنیم ، فشار بدون ضعیف شدن به بخش های دیگر مایع و دیواره های ظرف منتقل می شود.
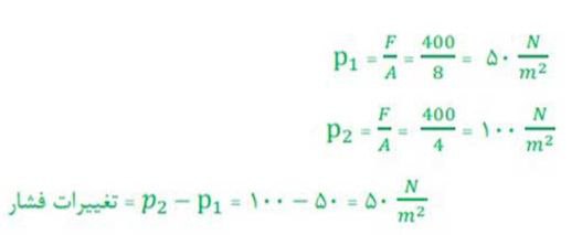
۷. در سطحی به مساحت ۸ متر مربع نیروی ۴۰۰ نیوتون وارد می شود اگر نیرو ثابت بماند و مساحت نصف شود فشار چند پاسکال تغییر می کند؟
پاسخ : 
۸. چرا در شبکه آب رسانی شهر ها معمولاً مخزن آب را در ارتفاع بالاتر از بقیه نقاط می سازند؟
پاسخ : فشار مایعات به ارتفاع مایع سطح آزاد آن بستگی دارد ؛ هرچه ارتفاع بیشتر باشد فشار مایع بیشتر خواهد بود در نتیجه هر چه مخزن آب در سطح بالاتری نسبت به شهر قرار داشته باشد فشار آب شهر بیشتر خواهد بود.
۹. چرا گرفتن پونز بین دو انگشت و فشردن آن می تواند سبب آسیب رسیدن به یکی از انگشت ها شود؟
پاسخ : زیرا بر انگشتی که روی نوک تیز پونه قرار دارد نیرو در سطح کمتری جمع شده و فشار افزایش یافته است و در انگشت که روی قسمت پهن پونس قرار دارد نیرو پخش شده و فشار کم می شود.
۱۰. چرا مرتاض های هندی روی یک تخت چوبی پوشیده از میخ می خوابند اما نمی توانند روی آن بایستند؟
پاسخ : زیرا وقتی روی تخت چوبی می خوابند نیروی وزن آنها روی مساحت زیادی وارد می شود و فشار کمتر از حالتی است که روی آن می ایستند.
۱۱. فشار درون مایع با افزایش عمق چه تغییری می کند؟
پاسخ : هر چه عمق یا ارتفاع بیشتر باشد فشار آن نیز بیشتر است.
۱۲. چرا امدادگران از یک نردبان بزرگ برای حرکت روی سطح یک دریاچه یخ زده استفاده می کنند؟
پاسخ : نردبان باعث می شود وزن امدادگر در سطح بیشتری روی یخ پخش شود و این باعث می شود فشار کمتری بر یخ وارد شده و احتمال شکسته شدن یخ کمتر می شود.
۱۳. فشار مایعات به چه عواملی بستگی دارد؟
پاسخ : ۱ : ارتفاع مایع از سطح آزاد مایع (عمق)
۲ : چگالی مایع
۳ : شتاب جاذبه مایع
۱۴. فشار وارد بر کف یک مکعب به وزن ۴۰۰ نیوتون ۰/۲ کیلو پاسکال می باشد. مساحت یک وجه این مکعب چند متر مربع می باشد؟
پاسخ : ۰/۲ کیلو پاسکال برابر ۲۰۰ پاسکال است.
مراحل حل:
P = F / A ⇒ 200 = 400 / A ⇒ A = 400 / 200 = 2 m2
۱۵. از کاربرد های اصل پاسکال دو مورد را نام ببرید؟
پاسخ : ۱ : در ترمز خودرو
۲ : در بالابر های هیدرولیکی
۱۶. اگر گلدانی ۲۰۰ نیوتن وزن داشته باشد و سطح تماس آن با زمین ۴۰۰ سانتی متر باشد فشار گلدان بر زمین چند نیوتن بر سانتی متر مربع است؟
پاسخ : مراحل حل :
P = 200 / 4 = 5
۱۷. یک نی را داخل یک بطری محتوای آب قرار دهید در حالی که نه درون بطری قرار دارد و درون بطری بدمیم چه اتفاقی می افتد؟
پاسخ : وقتی به درون بطری می دمیم ، مقداری هوا را از طریق دمیدن به بطری وارد می کنیم. این مقدار هوا فشاری به مایع درون بطری وارد می کند و مایعی که در ته بطری قرار دارد متحمل فشار هوا و فشار مایع بالای سر خود می باشد. در اثر این دو فشاری که بر مایع ته بطری وارد می شود مایع به درون نی وارد شده و به بیرون از ظرف می ریزد.
۱۸. فرمول فشار را بنویسید؟
پاسخ : فشار = نیرو / سطح
P = F / A
۱۹. وقتی با نی نوشیدنی می خورید کدام عامل موجب انتقال مایع از لیوان به درون دهان می شود؟
پاسخ : فشار هوا
۲۰. چرا با وجود هوا بدن ما مچاله نمی شود؟
پاسخ : مایعات درون بدن فشاری در جهت عکس فشار هوا دارند.
۲۱. زمانی که کفش اسکی می پوشیم به دلیل ..[ افزایش ].. سطح ، کمتر در برف فرو می رویم.
۲۲. یکای فشار در فیزیک ..[ پاسکال ].. است.
۲۳. هر پاسکال معادل یک نیوتن بر ..[ یک ].. متر مربع است.
۲۴. یک نیوتن بر سانتی مربع برابر ..[ ۱۰۰۰۰ ].. پاسکال است.
۲۵. در عمق یکسان از یک مایع فشار در تمام سطوح آن ..[ یکسان ].. است.
۲۶. هرچه از سطح زمین بالاتر می رویم فشار هوا ..[ کمتر ].. می شود.
۲۷. عامل وجود فشار هوا بر اجسام روی سطح زمین نیروی ..[ گرانش ].. زمین است.
۲۸. به نظر شما آب خارج شده از سوراخ ها در کدام طرف فشار بیشتری دارد؟
پاسخ : در هر سه ، فشار آب برابر است. چون ارتفاع آب در هر سه ظرف برابر است و سوراخ ها هم همتراز هستند.
۲۹. اگر نیروی وارد بر مکعبی ثابت بماند و سطح مقطع کف آن را ۴ برابر کنیم ، فشار چگونه تغییر می کند؟
پاسخ : 
۳۰. کدام عامل در مقدار فشاری که از طرف مایع بر کف وارد می شود بی تاثیر است؟
پاسخ : شکل ظرف
۳۱. در کدام یک از مکان ها فشار هوا بیشتر است؟
پاسخ : در سواحل
۳۲. فشار هوا چه رابطه ای با ارتفاع از سطح دریاهای آزاد دارد؟
پاسخ : رابطه معکوس دارد.
۳۳. عامل ایجاد فشار گاز درون یک ظرف در بسته کدام است؟
پاسخ : جنبش مولکول ها